Fundada em 1972, Dirk Rossmann GmbH é uma das maiores redes de drogarias da Europa, com lojas na Alemanha, Polônia, Hungria, República Tcheca, Turquia, Albânia, Kosovo, Israel e Espanha. Ainda que o foco das drogarias sejam ofertar produtos nas áreas de saúde e beleza, a Rossmann investe em produtos e serviços que fogem desse universo, como ração para animais e serviço fotográfico.
De acordo com o seu site, a variedade das filiais é norteada pelas necessidades do clientes e a gama de produtos depende do tamanho da loja e localização. A empresa possui atualmente (2023), 60.500 funcionários e 4.514 filiais.
Os dados foram obtidos no Kaggle e contém informações sobre as vendas diárias de 1.115 lojas da Rossmann. O conjunto de dados contém informações sobre promoções, feriados e características da loja.
Com o intuito de reformar as lojas, o CFO (Diretor Financeiro) da empresa Rossmann, numa reunião com todos os gerentes de loja, solicitou a cada um deles uma previsão diária de vendas, das próximas 6 semanas. Para um melhor resultado, essa demanda foi repassada para o time de Data Science.
- O objetivo do projeto é fornecer previsões de vendas de 6 semanas, para várias lojas com base em dados históricos;
- Os potenciais métodos a serem utilizados são as séries temporais e regressão com algumas modificações;
- O formato de entrega será um Telegram Bot: ao digitar o ID da loja, o valor total de vendas será apresentado.
Neste projeto, a metodologia CRISP-DM foi implementada para entregar valor ao negócio. Em síntese, a estrutura do projeto Rossmann Sales Forecast foi a seguinte:
- Os registros de vendas se iniciam em 1º de janeiro de 2013 e terminam em 31 de julho de 2015;
- Valores faltantes na variável
competition_distanceforam interpretados como ausência de competidores próximos ou lojas significativamente distantes que por isso, não são consideradas concorrentes. Logo, os valores NA foram alterados para 200.000 metros; - Valores faltantes nas variáveis
competition_open_since_monthecompetition_open_since_yearpodem decorrer da falta de competidores próximos ou do desconhecimento da data de abertura da loja concorrente. Dado isso, foi considerado o mês e ano do registro de vendasdate; - Valores faltantes nas variáveis na
promo_month_weekepromo_month_yeartambém foram substituídos pela data do registro de vendasdate;
Após análise de dados, o conjunto final das variáveis ficou assim:
| colunas | descrição |
|---|---|
| store | ID único para cada loja |
| day_of_week | dia da semana (1 = Segunda, 7 = Domingo) |
| date | data do registro de vendas |
| sales | volume de vendas realizadas no dia do registro |
| customers | número de clientes que frequentaram a loja no dia do registro |
| open | indica se a loja estava aberta (0 = fechado, 1 = aberto) |
| promo_week | indica se no registro de venda, a loja estava realizando uma promoção semanal |
| state_holiday | indica se a venda foi realizada num feriado estadual (a = feriado, b = feriado da Páscoa, c = Natal, 0 = nenhum) |
| school_holiday | indica se a venda no dia foi afetada pelo fechamento das escolas públicas |
| store_type | indica os 4 tipos de lojas que a a Rossmann possui (a, b, c, d) |
| assortment | descreve qual nível de sortimento de produtos a loja pertence (a = básico, b = extra, c = estendido) |
| competition_distance | distância em metros até a loja concorrente mais próxima |
| competition_open_since_month | indica o mês aproximado em que o concorrente mais próximo foi aberto |
| competition_open_since_year | indica o ano aproximado em que o concorrente mais próximo foi aberto |
| promo_month | indica se a loja participa de promoções mensais (0 = não participa, 1 = participa) |
| promo_month_since_week | descreve a semana em que a loja começou a participar das promoções mensais |
| promo_month_since_year | descreve o ano em que a loja começou a participar das promoções mensais |
| promo_interval | descreve os intervalos consecutivos em que promo_month é iniciado (as promoções mensais são realizadas 4 vezes no ano) |
| promo_month_active | indica se no dia do registro de venda, a loja estava participando das promoções do mês (0 = não estava, 1 = estava) |
| year | ano extraído da coluna data |
| month | mês extraído da coluna data |
| day | dia extraído da coluna data |
| week_of_year | semana do ano extraído da coluna data |
| competition_since | ano e mês extraído da coluna competition_open_since_year e competition_open_since_month |
| competition_time_month | indica há quantos meses a loja competidora existe |
| promo_month_since_date | ano e semana que começaram as promoções mensais |
| promo_month_time_week | quantidade de semanas que a loja participa das promoções mensais |
- Visando organizar as ideias e listar características que podem ter impactado o faturamento de vendas das lojas Rossmann, o Mapa Mental de Hipóteses foi desenhado, e com o auxílio dele, 9 hipóteses foram criadas e testadas ao longo da fase de EDA.
Após passar pelas análises (univariada, bivariada e multivariada), os principais insights obtidos através dos dados foram:
H4. Lojas que participam das duas promoções deveriam vender mais
Hipótese Falsa - Lojas que participam das duas promoções (semanal e mensal) vendem menos (e têm menor tempo de duração). Os registros de vendas mostram que as lojas vendem mais, em dias regulares e dias com promoção semanal. Há um certa complexidade quanto a essa variável, pois, existem características que podem impactar as vendas: o tipo de loja e o seu nível de sortimento, as necessidades dos clientes que podem não estar sendo atingidas, etc..
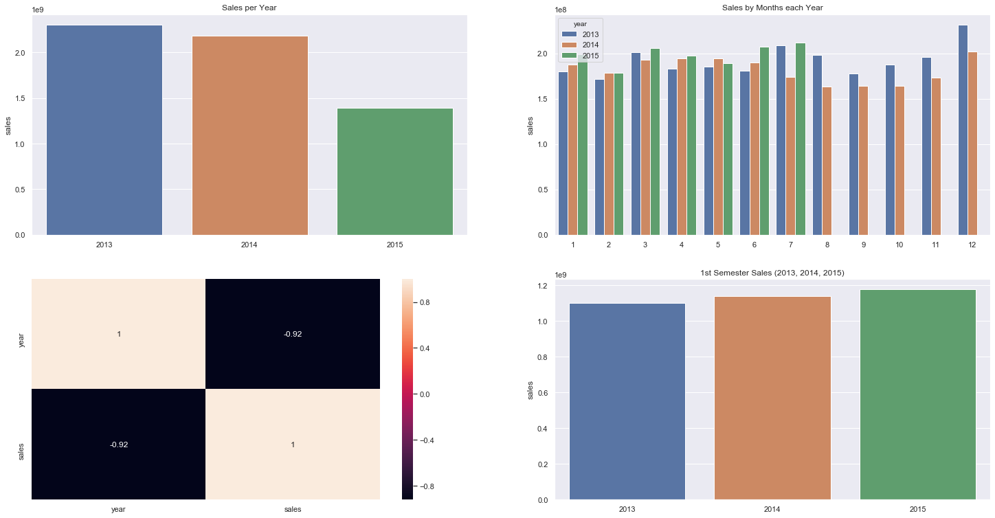
H6. Lojas deveriam vender mais ao longo dos anos
Hipótese Falsa - Lojas vendem menos ao longo dos anos. Analisando os dois anos completos (2013 e 2014) há uma queda nas vendas. Mas, pra não isolar o ano de 2015 (os registros de vendas vão até julho) foi analisado o comportamento (a proṕosito, crescente) do primeiro semestre dos três anos.
Chegou a etapa de preparação dos dados para que posteriormente ocorra a aplicação de algoritmos de aprendizagem de máquina. Como o aprendizado da maioria dos algoritmos de ML é facilitado com dados numéricos, técnicas foram necessárias:
- de rescaling: Robust Scaler para as variáveis
competition_distanceecompetition_time_monthe Min-Max Scaler parayearepromo_month_time_week; - transformação - enconding: para variável
state_holiday, foi utilizado One Hot Enconding; para a variávelstore_type, a Label Enconding; e para a variávelassortment, a Ordinal Enconding; - transformação - grandeza: na variável resposta
salesfoi usado o log1p, visando uma distribuição mais próxima do normal; - transformação - natureza: nas variáveis temporais, o modelo de natureza cíclica foi utilizado, com o círculo trigonomêtrico (seno e coseno).
Com o Boruta, foi descoberto quais são as variáveis mais relevantes para usarmos no modelo preditivo de ML.
Foram testados 5 modelos diferentes (Average Model, Linear Regression Model, Lasso Regression Model, Random Forest Regressor e XGBoost Regressor).
Para avaliar o desempenho dos modelos, já que o pedido é uma previsão das próximas 6 semanas, para validar o modelo de ML, as últimas seis semanas de registros de vendas foram reservadas para validação e o restante do dataset, para treino.
Avaliação da performance após o Cross-Validation
| Model Name | MAE CV | MAPE CV | RMSE |
|---|---|---|---|
| Random Forest Regressor | 696.66 | 0.1 | 1003.81 |
| XGBoost Regressor | 987.94 | 0.13 | 1407.43 |
| Linear Regression | 1980.04 | 0.28 | 2840.0 |
| Lasso Regression | 2014.53 | 0.28 | 2918.82 |
Ainda que o XGBoost não tenha obtido a melhor performance, o algoritmo foi escolhido para realizar a previsão de vendas, pois treina os dados com mais rapidez.
O resultado final abaixo, com o ajuste de hiperparâmetros
| Model Name | MAE | MAPE | RMSE |
|---|---|---|---|
| XGBoost Regressor | 614.31 | 0.089 | 898.91 |
O modelo é analisado sob uma perspectiva de negócios. As imagens abaixo mostram uma comparação de resultados, com o melhor e pior cenário de previsão.
Lojas com melhor desempenho - previsões com até 4% de erro
Lojas com pior desempenho - previsões com até 55% de erro
Em vista disso, o total de vendas previstas para as próximas seis semanas se encontra no quadro abaixo:
| Scenario | Revenues (6w) |
|---|---|
| predictions | 285,743,680.00 |
| worst_scenario | 285,054,422.60 |
| best_scenario | 286,432,960.15 |
Os gráficos abaixo mostram a performance do modelo.
- No gráfico Sales Variance, as vendas reais e estimadas são comparadas;
- O gráfico % exibe a taxa de erro nas últimas 6 semanas. Uma taxa acima de 1, as predições estão superestimadas, enquanto menor que 1, estão subestimadas;
- O 3º gráfico Error Distribution, distribuição do erro, é usado na análise do resíduo, uma teoria que o erro é analisado. O ideal é ter uma distribuição em forma de sino e com média zero;
- O último gráfico Residues, exibe as previsões em relação ao erro. Espera-se que os erros estejam concentrados num tubo (erros com poucas variações).
Para acesso rápido as previsões de vendas, foi criado um Bot no Telegram, usando Flask e Render. Como mostra o vídeo abaixo, é so enviar o número da loja que deseja, que uma mensagem será retornada com a previsão de vendas.
rssmnnbot.mp4
Para o primeiro ciclo do CRISP-DM, o modelo apresentou resultados medianos. É necessário que o projeto passe por outros ciclos a fim de melhorar a assertividade das previsões. Nos próximos ciclos podemos:
- Adicionar mais variáveis;
- Criar novas hipóteses e validá-las;
- Analisar os erros acima de R$ 10.000 e criar modelos específicos para as lojas mais difíceis (MAPE alto).





